17. 量子并行 & 量子叠加#
到目前为止,我们的讨论相当笼统。适用于大多数量子算法的框架。现在,是时候研究一些“真实”量子算法的细节了,但这些算法可能并不“实用”,因为我们只是试图证明量子计算的想法。我们首先需要理清的是,量子计算机是如何进行经典计算的。在这里,重要的一点是 Toffoli 门对于经典计算机是“通用的”。想象一下,我们有一个经典电路,带有 AND、OR、NOT 等逻辑门,其想法是用 Toffoli 门(连同一些辅助位)替换每个逻辑门。
有两个问题需要弄清楚。
首先,经典计算是不可逆的(信息丢失),但量子计算是可逆的(信息守恒)。
其次,一些经典计算涉及随机性。
这两个问题都可以通过量子计算来克服,方法是保留信息并使用量子测量,例如在\(|+\rangle\)态上测量。
Toffoli 门#
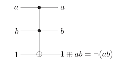
让我们看一下toffoli门的逻辑表。

【事实】与非门(NAND 门)(与门 后接 非门)对于经典计算是通用的。这足以证明如果Toffoli 门可以模拟与非门,那么Toffoli 门对于经典计算也是通用的。

为了检查,让我们看一下 NAND 逻辑表:

由于 Toffoli 门可以使用基本量子门构建,因此经典计算可以被量子计算机实现。需要注意的是,量子计算机执行经典计算将会产生额外的开销。
一个很好的类比:量子计算机确实可以模拟经典计算,但量子计算机不太可能取代经典计算机。为什么?就像飞机都可以像汽车一样操作,但我们不会用飞机代替汽车。
量子并行#
当我还是一名研究生时,我是团队中唯一从事量子计算的人。在一次组会上,我试图解释量子计算,然后我写了这个(\(x \in \{ 0,1 \}^n\)): $\( \boxed{ |x\rangle |0\rangle \rightarrow |x\rangle |f(x)\rangle } \)$
组里的其他人对此很满意,但是当我以叠加的形式写出来时: $\( \boxed{ \sum_x |x\rangle |0\rangle \rightarrow \sum_x |x\rangle |f(x)\rangle } \)$ 他们不相信这是真的。
或许我应该评论一下:量子计算机可以做这样的事情吗?\(|x\rangle \rightarrow |f(x)\rangle\) 但这通常是不可逆的。
实际上,我们需要的是一些辅助量子比特。因此,我们实际上需要执行以下操作: $\( |x\rangle|0\rangle|0\rangle_{a n c} \rightarrow|x\rangle|f(x)\rangle|g(x)\rangle_{a n c} \rightarrow|x\rangle|f(x)\rangle \)$ 这仍然是一个简化版本。可能最好的方法是通过一些明确的例子来说明。例如,如果要执行的逻辑操作恰好是与非门。
单一状态: $\( |ab\rangle |1\rangle \rightarrow |ab\rangle |1+ab\rangle \)$
叠加: $\( (|00\rangle+|01\rangle+|10\rangle+|11\rangle)|1\rangle \rightarrow|00\rangle|1\rangle+|01\rangle|1\rangle+|10\rangle|1\rangle+|11\rangle|0\rangle \)$
from mindquantum.core.circuit import Circuit
from mindquantum.core.gates import X, H
circ = Circuit()
circ += H.on(0)
circ += H.on(1)
circ += X.on(2)
circ += X.on(2, [1, 0])
circ.svg()
\(q_0\)、\(q_1\)是输入比特,\(q_2\)是输出比特。现在按照\(|q_0 q_1 q_2\rangle\)的顺序打印量子态,即得到叠加情况下的\(|ab\rangle |1+ab\rangle\):
print(circ.reverse_qubits().get_qs(ket=True))
1/2¦001⟩
1/2¦011⟩
1/2¦101⟩
1/2¦110⟩
现在,想象一下,如果我们需要进一步处理输出的量子比特, $\( |a b\rangle|1\rangle \rightarrow|a b\rangle|1+a b\rangle|1\rangle \rightarrow|a b\rangle \enspace |1+a b\rangle \enspace |1+a(1+a b)\rangle \)$
circ += X.on(3)
circ += X.on(3, [0, 2])
circ.svg()
现在\(q_0\)、\(q_1\)是输入比特,\(q_2\)是辅助比特,\(q_3\)是输出比特。但这样中间部分会出现叠加问题: $\( \begin{array}{c} (|00\rangle|1\rangle+|01\rangle|1\rangle+|10\rangle|1\rangle+|11\rangle|0\rangle)|1\rangle \\ \\ \rightarrow|00\rangle|1\rangle|1\rangle+|01\rangle|1\rangle|1\rangle+|10\rangle|1\rangle|0\rangle+|11\rangle|0\rangle|1\rangle \\ \\ |00\rangle|g(00)\rangle_{a n c}|f(00)\rangle+|01\rangle|g(01)\rangle_{a n c}|f(01)\rangle+|10\rangle|g(10)\rangle_{a n c}|f(10)\rangle+|11\rangle|g(11)\rangle_{a n c}|f(11)\rangle \end{array} \)\( 这里的函数\)f\(就是我们想要应用的逻辑操作,即应用两个与非门,但是辅助量子比特\)q_2\(会与输入量子比特\)q_0\(、\)q_1$纠缠在一起,如下所示。
print(circ.reverse_qubits().get_qs(ket=True))
1/2¦0011⟩
1/2¦0111⟩
1/2¦1010⟩
1/2¦1101⟩
要摆脱它,我们可以再次应用 Toffoli 门。
circ += X.on(2, [0, 1])
circ.svg()
print(circ.reverse_qubits().get_qs(ket=True))
1/2¦0011⟩
1/2¦0111⟩
1/2¦1010⟩
1/2¦1111⟩
可以看到,辅助比特\(q_2\)现在恢复了初始状态。
量子叠加#
对于一个单量子比特,我们知道 $\( H|0\rangle = (|0\rangle+|1\rangle)/\sqrt{2} \)$
对于两个量子比特: $\( H^{\otimes 2}|00\rangle=(|0\rangle+|1\rangle)(|0\rangle+|1\rangle) / 2=(|00\rangle+|01\rangle+|10\rangle+|11\rangle) / 2 \)$
对于多量子比特, $\( H^{\otimes n}\left|0^{n}\right\rangle=\frac{1}{\sqrt{2^{n}}} \sum_{x \in\{0,1\}^{n}}|x\rangle \)$
在\(n\)个量子比特上使用\(n\)个 Hadmard 门,可以创建具有 \(2^n\) 输入项的量子叠加。指数希尔伯特空间是使其成为经典模拟难题的必要条件(但不是充分条件)。
结合前面的讨论,我们可以断言存在一个幺正的电路\(U_f\),这样 $\( \boxed{ \sum_{x} a_{x} U_{f}|x\rangle|0\rangle=\sum_{x} a_{x}|x\rangle|f(x)\rangle } \)\( 其中\)f(x)$是一些可以表示为经典电路的函数。
from show_info import InfoTable
InfoTable('mindquantum')
| Software | Version |
|---|---|
| mindquantum | 0.11.0 |
| System | Info |
| Python | 3.11.10 |
| OS | Darwin arm64 |
| Memory | 17.18 GB |
| CPU Max Thread | 10 |
| Date | Tue Sep 16 18:01:32 2025 |